IPR 計算の結果は、発注時に SKU をどれだけ発注すればよいか (ロットサイズ)、必要なサービスを受けるためにバッファー在庫としてどれだけの量を確保しておく必要があるか (安全在庫)、そして最終的にどの在庫レベルで発注すればよいか (発注点) となります。
[最大オーダー カバー日数] と [安全在庫カバー日数] という 2 つのパラメーターが存在することに注意してください。これらのパラメーターは計画階層で設定され、、ロット サイズと安全在庫が極端に大きくならないように制限するために使用されます。これらは、安価な品目でも実際に大量のオーダーを受けることができるため (場合によっては何年もカバーできる)、EOQ モデルを使用する場合に特に便利です。同じことがサービス レベルで管理された安全在庫にも当てはまり、異常としてマークされていない不自然に大きなトランザクションによって、大きな安全在庫が発生します。これら 2 つのフィールドにより、計算された損失サイズと安全在庫が、これらのフィールドで指定した日数よりも大きくなることが防止されます。これにより、これらのモデルはより堅牢になり、より安全に使用できるようになります。
在庫品目には、 最小表示数量と最大保有数量という 2 つのパラメーターも設定できます。最小保有数量は、品目の安全在庫がどの程度低くできるかの下限値として設定され、モデルが最小数量よりも高い安全在庫を返す場合は、高い方の安全在庫値が安全在庫として使用されます。最大保有数量は、品目を受け取った後に在庫として計画される単位の最大量からなります。つまり、(安全在庫 + オーダー数量) <=最大保有数量。手持ちの数量が最大保有数量を超えないという保証はありません。これはリリード タイム中の需要に依存し、この数量が予想よりも少ない場合は最大保有数量を超えてしまいます。しかし、それを超過しないように計画します。品目と計画階層にフィールドがあり、結果を計算するときに IPR が最大容量設定を考慮するかどうかを設定できます。最大値を設定し、計算時にそれを考慮しない理由は、品目が最大制限を超えるという事実を受入サイトに警告するだけで、IPR の計算された数量を送信するためです。
計算対象の品目に納入ルートが接続されている場合、IPR は購買パラメーターを計画するときに、サプライチェーンマトリックス内のルートとリード タイムの情報を品目のリード タイムとサイクルタイムとして使用します。
IPR は、以下にモデルを説明する手配方法 B の品目に使用できます。IPR は、計画方法 A、D、E、F、G、および M の品目にも使用できます。その場合、安全在庫のみが計算され、その結果は在庫品目の安全在庫フィールド、または在庫品目/手配情報/一般(タイムフェーズ安全在庫)の「タイムフェーズ゛安全在庫」タブに書き込まれます。IPRタイムフェーズ安全在庫詳細については見る
これを決定するには、4つの異なるモデルパラメーターを設定する必要があります。
需要モデルは将来の需要をどこで探すかを決定します。このモデルには 3 つの設定があります。
需要モデル
安全在庫モデル
ロットサイズモデル
発注点モデル
IPRサーバー Web ページ <http:://<IPR/DP_SERVER_MACHINE_NAME>:<IPR/DP_SERVER_PORT_NUMBER>/ipr/> (例: "http:://inmino1:5010/ipr/") にアクセスすると、詳細な計算をすべて Excel シートで確認できます。Web ブラウザにアドレスを入力するだけです。
この設定では、在庫品目の「予測年間数量」というフィールドを品目の年間需要として使用するだけです。また、年間経費品目を手動で設定します。
リード タイム、サイクル タイム、リード タイム内の出庫回数と平均を使用します。年間需要を計算するための出庫の数量。
![]()
在庫品目 (手配情報/発注点) を見ると、予測年間需要フィールドに年間結果が表示されます。この設定を使用すると、単純なレベル予測モデルのようになります。
将来の需要は、需要予測の予測から取得されます。この予測から、指定された間隔で予測が読み取られます (モデルによって異なります)。
在庫品目の安全在庫フィールドに設定されたマニュアル安全在庫を使用します。
カバー日数を使用する場合、安全在庫は安全在庫カバー日数と需要モデルに基づいて決定されます。安全在庫は、この 2 つによって決定される需要日数をカバーする必要があります。たとえば、需要モデルとして年次予測があり、年間需要が 876 で、安全在庫カバー時間が 25 の場合、安全在庫は(876/365*25) 60 になります。
需要モデルとして予測を選択した場合。安全在庫は、以下に示す期間の予測に基づいて計算されます。

履歴不確実性では、リード タイム中の需要の測定された標準微分と、リード タイム自体の標準微分をサービス率と組み合わせて安全在庫を計算します。サービス率とは、品目のライフサイクル全体にわたるサービス レベルに対する需要であり、標準導出ではリード タイム中の需要の変動とリード タイムの長さの変動を示します。リード タイム中の需要の標準導出は、[需要導出分析] バックグラウンドジョブによって計算されます。リード タイムの長さの標準導出は、[購買品リード タイムの計算] バックグラウンドジョブによって計算されます。
まず、合計標準偏差を計算する必要があります。 (リード タイムで測定された標準偏差 + リード タイムの​​長さにおける標準偏差)
リード タイムの​​長さの変動によって生じる標準微分を計算するには、リード タイム日数の標準微分と日次の予測需要を乗算します。

次に 2 つの標準微分を加える必要があります

これは安全在庫を計算する際に標準偏差として使用される合計標準偏差です。
これで合計標準偏差 (SD) がわかりました。任意のサービス率に対して適切な安全係数を見つけるための最初のステップは、サービス関数 f(k) の値を計算することです。

| OQ | オーダー数量 (ロット サイズ) |
| SD | 標準導出 |
| SL | サービス需要 (0 - 0.999999) |

ロット サイズが大きくなるにつれて、安全在庫の必要性がますます少なくなることに注意してください。標準偏差が減少すると、同じ結果になります。
特定のサービス機能に適した安全係数を見つけるには、次の表を使用します。
| 安全係数 | サービス機能 |
| 0.00 | 0.3989 |
| 0.60 | 0.1687 |
| 1.20 | 0.0561 |
| 1.80 | 0.0143 |
| 2.40 | 0.0027 |
| 3.00 | 0.0004 |
最終的に安全在庫は次のように計算されます。
![]()
| SD | 標準導出 |
| SS | 安全在庫 |
動的範囲モデルを使用すると標準偏差が変更されることに注意してください。動的範囲を参照してください。
この方法は、履歴不確実性と似ていますが、重要な違いは、リード タイムの​​標準偏差が需要予測の予測から取得され、サービス率とともに安全在庫を計算するために使用されることです。サービス率は、品目のライフ サイクル全体にわたるサービス レベルに対する需要であり、標準偏差はリード タイム中の需要の変動を示します。標準導出は、需要予測からのリード タイム(および最終的なサイクルタイム)の MSE エラーから計算され、計算時に 一リード タイム先まで測定されます(図を参照)。

リード タイムの​​長さの変化に対しても同様の補償が得られます。
リード タイムの​​長さの変動によって生じる標準微分を計算するには、リード タイム日数の標準微分と日次の予測需要を乗算します。

次に 2 つの標準微分を加える必要があります

これは安全在庫を計算する際に標準偏差として使用される合計標準偏差 (SD) です。
需要偏差分析ジョブからの履歴観察に基づいて、リード タイムで測定された標準偏差があります。任意のサービス率に対して適切な安全係数を見つけるための最初のステップは、サービス関数 f(k) の値を計算することです。

| OQ | オーダー数量 (ロット サイズ) |
| SD | 標準導出 |
| SL | サービス需要 (0 - 0.999999) |

ロット サイズが大きくなるにつれて、安全在庫の必要性がますます少なくなることに注意してください。標準偏差が減少する場合も同様の結果になります。
特定のサービス機能に適した安全係数を見つけるには、次の表を使用します。
| 安全係数 | サービス機能 |
| 0.00 | 0.3989 |
| 0.60 | 0.1687 |
| 1.20 | 0.0561 |
| 1.80 | 0.0143 |
| 2.40 | 0.0027 |
| 3.00 | 0.0004 |
最終的に安全在庫は次のように計算されます。
![]()
| SD | 標準導出 |
| SS | 安全在庫 |
動的範囲モデルを使用すると標準偏差が変更されることに注意してください。動的範囲を参照してください。
ロットサイズは在庫品目で手動で設定されます。
カバー日数を使用する場合、ロット サイズはロットサイズカバー日数と需要モデルに基づいて決定されます。ロット サイズは、2 つによって決定される需要日数をカバーする必要があります。たとえば、需要モデルとして年間需要が 365 の年次予測があり、ロットサイズカバー日数が 15 の場合、ロット サイズは 15 になります。(365/365*15)。カバー日数が使用され、需要モデルが予測に設定されている場合。ロットサイズは、ロットサイズカバー日数の日数にわたって、リード タイムから将来までの予測量をカバーするように設定されます。

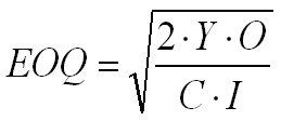
EOQ は発注原価と在庫商品の原価とのバランスを取り、これらの原価トの合計が最小になるようにロットサイズを計算します。

| Y | 予測年間需要 |
| D | 過去の需要がある最初の期間 |
| O | オーダー原価 |
| C | 原価価格 |
| I | 在庫割引率 |
需要モデルとして「予測」を選択した場合、ロットサイズの計算時に季節的な変動と予測トレンドを考慮する特別な調整を加えた EOQ モデルが使用されます。
アルゴリズム
1.予測された年間需要Y_0を使用して、リード タイムの​​終了からEOQ_1を計算します。
2.リード タイムの​​終了から T_1 EOQ_1 がどのくらい続くかを確認します。
3.T_1範囲の予測需要を計算、外挿によって予想される年間需要Y_1を求めます。
4.Y_1を年間需要として新しいEOQ_(n+1)を計算
次に、ポイント 2 からこれを 3 回繰り返し、結果として得られる EOQ_4 が最終的な EOQ になります。
仕入先契約の品目数量別価格設定または仕入先別購買品目の価格表に価格値引が定義されており、両方にデータが定義されている場合は仕入先契約が優先されます。これらの契約は、例えば購入する単位数に応じて異なる原価価格を与える価格割引を定義します。
| 最小数量 | 最大数量 | 価格 |
| 1 | 1000 | 50 |
| 1001 | 5000 | 49.5 |
| 5001 | 49 |
価格割引が存在する場合、システムは EOQ ロットサイズを計算する際にこれらの価格割引を考慮します。
各価格区分ごとに EOQ を計算します。EOQ が価格区分の最小/最大範囲内にない場合は、価格区分の最小/最大数量をテストする EOQ として使用します。次に、年間の保有、オーダー、購買の総原価を計算して各価格区分の EOQ をテストします。選択された EOQ は、総原価が最小となる EOQ です。
動的範囲は、配送ルートID 情報を使用するロット サイズ モデルです。このモデルのポイントは、品目に関連付けられた配送ルートID に従って、品目が納入される日ごとに品目の納入を取得する必要があることです。したがって、配送ルートID に基づいて、IPR は配送ルートID 内の各納入日に対して最新のオーダー日と対応する納入日を計算します。ロット サイズは、次回のオーダーの納入日に在庫数量が安全在庫と等しくなるように計算する必要があります。つまり、販売が計画どおりに進んだ場合、配送ルートID 情報に従って品目を納入できるたびに、品目が納入されることになります。
ルート情報は通常、リード タイムとサイクルタイムが曜日によって異なることを意味します。これは、標準導出などが IFS 在庫モジュールの在庫品目需要導出分析ジョブによって計算され、このジョブでは品目の予想リード タイムリード タイムと品目のサイクルタイムが使用されるためです。したがって、測定された標準偏差は、安全在庫の計算に使用される前に、この式で変更されます。

ロット サイズは次のように計算されます。
| オーダー日 n | |
| 入庫/納入日 n | |
| SS | 安全在庫 |
| 数量 | 手持在庫数量 |
| PS | 予定供給 (Rn+1 で) |
![]()
発注点は在庫品目に手動で設定されます。
リード タイム主導発注点を使用する場合、発注点は、計算された安全在庫と、リード タイム中の予測需要 + 最終サイクル タイムに設定されます。使用される需要は需要モデルによって決定されます。安全在庫が 10 の場合、リード タイムは 10、需要モデルは年間数量 730 の年次予測になります。
発注点は 10 + (10*2) = 30
滞留品発注点を使用する場合、発注点は可能な分布に応じて設定されます。このモデルでは安全在庫は使用されず、発注点が直接計算されることに注意してください。リード タイムとライフ サイクルの違いは、ライフ サイクルを使用する場合、サービス率は品目のライフ サイクル全体 (フィル レートとも呼ばれる) に対して適用されることを指定します。リード タイムの場合サービス率をリード タイム期間のみに設定すると、1 サービス需要は注文サイクル内で在庫が発生する最低許容確率になります。
| OQ | オーダー数量 (ロット サイズ) |
| SD | 標準導出 |
| SL | サービス需要 (0 - 0.999999) |
| R | 発注点/再オーダー レベル |
| ダウンロード | リード タイム中のランダムな需要 |
| λ | 需要率(日次需要率) |
発注点は次のアルゴリズムで計算されます。
ステップ 1.(境界の開始))k=0
![]()
![]()
ステップ2(境界チェック)F(k) > SLの場合はR1=kに設定してステップ4に進み、それ以外の場合はステップ3に進む
ステップ3(境界増分)k=k+1
![]()
![]()
ステップ2に進みます。
ステップ 4 OQ = 1 の場合、R1 の停止が再発注点になります。それ以外の場合は手順 5 に進みます。
ステップ5 (OQ の反復) Rq=R1-OQ を設定する

ステップ6(増加/減少の決定)X < SL*OQの場合はステップ7aに進みます(X >= SL*OQになるまでRqを増やし続けます。それ以外の場合はステップ8aに進みます(X<SL*OQになるまでRqを減らし続けます。
ステップ 7a (目標達成に向けて増加)
![]()
![]()
ステップ 7b (チェック) X>SL*OQ の場合は Rq が目標の再発注点になります。それ以外の場合はステップ 7a に進みます
ステップ8a(目標値に達するまで減少)Rq=Rq-1
![]()
ステップ 8b (チェック) X<SL*OQ の場合は Rq+1 が目標の再発注点になります。それ以外の場合はステップ 8a に進みます。上記のステップ8aと8bは、Rqの理論的な下限が満たされない場合に使用されます(OQが小さい場合に発生します)。
滞留品発注点を使用する場合、発注点は可能な分布に応じて設定されます。このモデルでは安全在庫は使用されず、発注点が直接計算されることに注意してください。リード タイムとライフ サイクルの違いは、ライフ サイクルを使用する場合、サービス率は品目のライフ サイクル全体 (フィル レートとも呼ばれる) に対して適用されることを指定します。リード タイムの場合サービス率をリード タイム期間のみに設定すると、1 サービス需要は注文サイクル内で在庫が発生する最低許容確率になります。

| x | 発生回数。 |
| l | リード タイムの​​過去の頻度 |
ポアソン分布は、0、1、2、3、4 などの確率を与えます。リード タイムにおける需要の発生。発生は独立していると想定されます。発注点を取得するには、正しい需要発生回数と発生あたりの平均需要を掛け合わせるだけです。
| 頻度 | Cul.確率 |
| 0 | 0.3678 |
| 1 | 0.7357 |
| 2 | 0.9196 |
| 3 | 0.981 |
| 4 | 0.9963 |
| 5 | 0.994 |
| 6 | 0.9999 |
頻度 λ=1 平均出庫数量 =2
サービス需要を 90% に設定すると、例では発注点は 4 (2*2) になります。これにより、リード タイム中の理論的なサービスは 91.96% になります。
これは、滞留品ライフサイクル モデルと同じですが、頻度が、過去の販売からの頻度と需要サイズの直接測定ではなく、クロストン予測モデルから取得される点が異なります。
これらの数値は、需要予測の期間バージョンとして選択された期間の長さを使用して表されます。これが意味を成すためには、期間バージョンはほぼ同一の期間の長さ (週、月、四半期、またはその他の均一な期間) を持っている必要があります。したがって、品目のリード タイムと需要予測の期間の長さが似ていない場合は、いずれのクロストンの滞留品モデルも使用しないでください。
リード タイムが予測期間よりも短いと仮定し、リード タイム (t2) 中の推定到着時間を取得するために時間シフトを実行します。これは次のように計算できます。
| z | 需要が発生したときの需要規模、需要計画における クロストンモデルルより (需要予測) |
| q | 需要予測におけるクロストンモデルからの需要発生頻度(受入場所時間間隔 |
| t1 | 需要予測における平均期間の長さ |
| t2 | 品目のリード タイム |
![]()
![]()
次に、リード タイムt2中の需要規模を推定します。これは次のように計算できます。
![]()
![]()
これらは、滞留品ライフサイクルと同じアルゴリズムで使用されます。
これは、滞留品のリード タイム モデルと同じですが、頻度が過去の販売からの頻度と需要サイズの直接測定ではなく、クロストンの予測モデルから取得される点が異なります。
これらの数値は、需要予測の期間バージョンとして選択された期間の長さを使用して表されます。これが意味を成すためには、期間バージョンはほぼ同一の期間の長さ (週、月、四半期、またはその他の均一な期間) を持っている必要があります。したがって、品目のリード タイムと需要予測の期間の長さが似ていない場合は、いずれのクロストンの滞留品モデルも使用しないでください。
リード タイムが予測期間よりも短いと仮定し、リード タイム (t2) 中の推定到着時間を取得するために時間シフトを実行します。これは次のように計算できます。
| z | 需要が発生したときの需要規模、需要計画における クロストンモデルルより (需要予測) |
| q | 需要予測におけるクロストンモデルからの需要発生頻度(受入場所時間間隔 |
| t1 | 需要予測における平均期間の長さ |
| t2 | 品目のリード タイム |
![]()
![]()
次に、リード タイムt2中の需要規模を推定します。これは次のように計算できます。
![]()
![]()
ここで、1/q2 を取得し、それをポアゾン分布の l として使用します。z2 は、発生時に予想される需要として使用されます。

ポアソン分布は、0、1、2、3、4 などの確率を与えます。リード タイムにおける需要の発生。発生は独立していると想定されます。発注点を取得するには、正しい需要発生回数と発生あたりの平均需要(z2) を掛けるだけです。
