[需要予測へ]
期間指数は、期間内の日数間で需要がどのように分散しているかを推定するものです。指数はシステムのユーザーによって手動で作成および編集されます。その後、プロファイルはモデルで使用される前に自動的に正規化されます。期間プロファイルは次のように正規化されます。
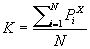
N = 標準期間あたりの期間数、P = 期間プロファイル指数の場合、正規化された期間プロファイルには次のプロパティが必要です。
![]()
期間プロファイルのいずれかが変更または作成されると、プロファイルは直ちに正規化されます。
を期間プロファイルを正規化する場合、正規化の方法は次のとおりです。
![]()
![]()
![]()
需要予測サーバーの選択された期間バージョンとして週がある場合、週次プロファイルが予測の日次分布を制御するため、このプロファイルは無効になります。他の期間バージョンでは、期間プロファイルを週次プロファイルと組み合わせて、最終的な日次予測を作成できます。