Period Profile

[To Demand Planning]

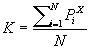
Period indexes are estimates of how demand is spread among days within a period. The indexes are created and edited manually by users of the system. Then the profiles are automatically normalized before being used in any models. A period profile is normalized like this:

When N = number of periods per standard period and P = the period profile index, a normalized period profile must have this property:

Whenever any of the period profile are changed or created, the profile is immediately normalized. When is the period profile to be normalized, the normalization method is:

 

If you have weeks as the demand plan server's selected period version this profile is disenabled because the weekly profile control the daily distribution of the forecast. With other period versions the period profile can be combined with weekly profiles to form a final daily forecast.